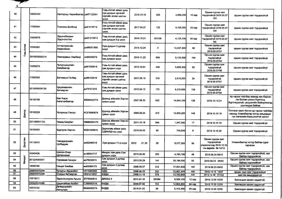
Монголын эмэгтэйчүүдийн холбооноос Шүүхийн шийдвэр гүйцэтгэх ерөнхий газартай хамтран хүүхдийн тэтгэмжээ төлөхгүй эрэн сурвалжлагдаж байгаа 233 эцэг, эхийн нэрийг олон нийтэд зарлалаа. Тэд эхний ээлжинд эрэн сурвалжлагдаж буй иргэний нэрсийг зарлаж байгаа бөгөөд цаашид ШШГЕГ-тай хамтран Зөрчлийн тухай хууль болоод Шүүхийн шийдвэр гүйцэтгэх тухай хуулиудад тэтгэмжээ төлөхгүй эцэг эхийн хариуцлагын талаар нэмэлт өөрчлөлт оруулахаар ажиллаж байгаа аж.
Хүүхдийн тэтгэмжээ төлөхгүй ЭРЭН СУРВАЛЖЛАГДАЖ байгаа 233 иргэний нэрийг зарлалаа
2019-12-11, 10:51
Санал болгох
-
-
Эрэн сурвалжлагдаж байсан этгээдүүд Дорноговьд хулгайн хэргээр баригджээ
2019-03-05, 10:51 -
Үндсэн хууль зөрчсөн эсэх тухай маргааныг шийдвэрлэжээ
2018-10-11, 11:47 -
Эрэн сурвалжилж байна
2018-10-09, 09:54 -
Үндсэн хууль зөрчөөгүй гэж Цэц дүгнэв
2018-09-21, 14:17 -
ЭРЭН СУРВАЛЖЛАХ СЭТГҮҮЛЗҮЙ ДАЯАРШИЖ БАЙНА
2017-11-30, 08:41
-
-
Дээрэлхэлтэд өртсөн мэдээллийн 55.3 хувийг ГССҮТ-өөс өгдөг
Өнөөдөр, 10:02 -
Монгол Улс, АНУ-ын Стратегийн түншлэл бэхжин хөгжиж байна
2026-03-20, 17:12 -
Онцгой байдлын байгууллагаас зургаан хурандаа цолтон төрлөө
2026-03-16, 12:52 -
-
-
-
Хаврын шар усны үерээс урьдчилан сэргийлэхийг анхааруулж байна
2026-03-06, 14:57 -
“Ахлагч” мэргэжлийн боловсролын сургуулийн сонсогчид дадлага сургалтад
2026-03-02, 09:39 -
-
Азийн мөнх цэвдэг судлаачдын III хурлыг Монгол Улс зохион байгуулна
2026-02-23, 09:36 -
Юань, долларыг хуурамчаар хэвлэдэг этгээдүүд баривчлагдав
2026-02-13, 11:03 -
Nutag.mn сайт “Grand Awards”-аас шагнал хүртлээ
2026-02-12, 19:07 -
Японд их хэмжээний цас орсны улмаас 35 хүн амиа алдав
2026-02-09, 10:37 -
Бид эдийн засгийн эрх чөлөөгүй гэж үү?
2026-02-06, 16:02 -
Богдхан ууланд биотехникийн арга хэмжээ авч хэрэгжүүлж байна
2026-02-02, 09:59 -
Япон улс цагаачлалын бодлогоо чангатгав
2026-01-30, 10:41 -
Онцгой байдлын салбарын хамтын ажиллагааг өргөжүүлнэ
2026-01-26, 09:40 -
-
-
Аюулт үзэгдэл, ослын 72 удаагийн дуудлагаар үүрэг гүйцэтгэлээ
2026-01-05, 09:53 -
БНСУ-ын виз мэдүүлэгт орсон шинэчлэлтүүд
2026-01-02, 15:23 -
Бэлчээрийн мал аж ахуйн өөрчлөлт шинэчлэлийг ахиулсан Өвөр Монголын шинэ
2025-12-30, 14:47 -
Цагийн өнгөөр хурцлагдах “Талын эзэд”
2025-12-30, 14:40 -
Малчдын орлогыг хэрхэн нэмэгдүүлж байна вэ
2025-12-30, 14:37 -
Мандал боомтын 24 цагийн хил дамнасан цахилгаан дамжуулалт
2025-12-30, 14:31 -
Хил дамнасан ногоон “аялал”
2025-12-30, 14:29 -
Аргыг нь олж асуудлыг шийдэх нь
2025-12-30, 14:27 -
Өвөр Монгол орчин үеийн эрчимжсэн мал аж ахуйг хөгжүүлэхүй
2025-12-30, 14:25 -
Өвөр Монголын малчид өвс тэжээлийн асуудлаа хэрхэн шийдэж байна вэ
2025-12-30, 13:02
-
Нэг бүс, нэг зам форум Монголд ямар үр ашигтай вэ?
2017-05-22, 15:12 -
Эцэг Бушийг Техаст оршуулжээ
2018-12-07, 12:45 -
ТАЕКВОНДОГИЙН ТӨРЛӨӨР АНХ УДАА ГРАНПРИ ТЭМЦЭЭНД ОРОЛЦОХ ЭРХ АВЛАА
2017-08-10, 10:48 -
Хамгийн өндөр орлоготой алдартнаар Кайли Женнер тодорчээ
2018-11-29, 13:14 -
С.Зоригийн хэргийн материалыг ил болгосноор юу өөрчлөгдөх вэ?
2017-11-30, 09:38 -
Түүхэн фото архиваас
2017-02-05, 19:18 -
Зам тээврийн сайд Ж.Бат-Эрдэнээс шийдэл эрсэн таван ажил
2017-11-30, 09:20 -
-
НАЙМАН ХУВИЙН ЗЭЭЛ БУЮУ ШИНЭ МӨРӨӨДӨЛ
2017-08-11, 08:52 -
ИРГЭД НИЙГМИЙН ДААТГАЛЫН ИЛҮҮ ТӨЛСӨН ШИМТГЭЛЭЭ БУЦААН АВЧ ЭХЭЛЖЭЭ
2017-08-11, 08:49 -
-
“1000 ахмадаа баярлуулъя” төсөл нээлтээ хийлээ
2017-02-21, 10:07 -
Манал бурханы тарни, бясалгал
2017-03-21, 12:33 -
Архангай руу явах маршрут өөрчлөгдлөө
2018-07-06, 11:02 -
Улсын Ерөнхий Прокурорын орлогч нарыг томиллоо
2019-04-18, 17:18 -
Намын даргаа ичээсэн нийслэлийн МАН
2019-01-24, 09:32 -
60 тэрбумын “Улаан хамгаалагчид”
2017-08-15, 08:52 -
Л.Н.Гумилев: Модун Шанью ба Хүн гүрэн үүссэн нь
2017-01-18, 12:40 -
Шүрэн хөөрөг атаа жөтөөг зайлуулдаг
2018-02-01, 10:38 -
Өдрийн цагаар дугхийх 5 шалтгаан
2017-01-12, 21:25 -
УТАСНЫ ТӨЛБӨРӨӨ ТӨЛӨӨГҮЙ ХЭРЭГЛЭГЧИЙН МЭДЭЭЛЭЛ МОНГОЛБАНКИНД ОЧНО
2017-08-03, 09:49 -
А.Баярцэцэг Стивен Сигалынд зочилжээ
2017-01-13, 13:21 -
Ерөнхий сайдын томилолтын мөрөөр шаардлагатай арга хэмжээ авна
2016-12-16, 11:26 -
-
-
Ерөнхийлөгчийн сонгуульд өрсөлдөхгүй гэв
2018-02-02, 10:18 -
Төсвийн байнгын хороо хоёр асуудал хэлэлцлээ
2017-01-17, 17:57 -
Бусдад буруугаа чихсэн “ХӨӨСРӨЛТ”
2018-08-06, 08:40 -
МАН-ын 60 тэрбумын 90 минутын бичлэгийн бүрэн тэмдэглэл
2017-08-09, 11:10 -
ТӨСӨВ ТОДОТГОСОН НЬ
2017-04-17, 10:54

















.jpg)






































0 сэтгэгдэл